下文所討論的羅氏線圈主要應用于架空輸電線路的高頻電流采集,實際使用時直接套接在線路上,處于一個極其復雜的電磁環境中,也因此對羅氏線圈的電磁兼容性提出了較高的要求。空間中存在著的影響羅氏線圈準確工作的因素有線路本身的工頻磁場,通過分布電容和裝置連接線耦合進線圈的電場干擾,以及由于雷電、放電、故障等因素產生的各式各樣的電磁干擾。由于羅氏線圈基于電磁感應原理工作,因此所受EMI最終都表現為對其空間磁場產生影響。
圖2為5種特高壓輸電線路線下離地1m處的工頻磁場分布 。可以看出,距離線路越近,所受到的干擾越大,因此對于直接掛在線路上的羅氏線圈來說,受到的干擾很大一部分來自距離很近的鄰相導線。

1. 相導線水平排列;2.相導線三角排列;3同塔雙回路;4.緊湊型(1O分裂);5.緊湊型(12分裂)
圖2 5種特高壓輸電線路線下離地lm處的工頻磁場分布
除此之外,空間中還其他磁場干擾分量。這些磁場可分解為與羅氏線圈骨架所在的平面相平行的分量,以及相垂直的分量Bz。平行分量的對羅氏線圈的影響與鄰相導線的影響相同,因此還需考慮垂直方向的磁場的Bz影響,不可忽視。由于裝置懸掛的位置不固定可能會發生線路偏心的情況,但一次導體偏心不會造成誤差,因此不作考慮。
鄰相導線干擾分析
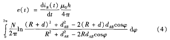
羅氏線圈應用于電流互感器時,通常情況下需要采集三相的電流,三相線路一般平行放置。羅氏線圈測量A相電流時,不僅有A相導線產生的磁場會在線圈中產生感應電動勢,且鄰近的B相和c相電流產生磁場也會耦合到線圈中并產生相應的感應電動勢。因為感應電動勢不是矢量,因此線圈最終輸出的感應電動勢可以等于各相電流產生的磁場在羅氏線圈中分別感應出的電動勢的數值疊加。一般而言A、B、c三相線路平行,因此僅討論B相電流產生的磁場在A相的羅氏線圈中的感應電動勢即可,c相同理,如圖3所示。

圖3 B相磁場作用分析
A相導線與B相導線間距為dAB ,考慮在羅氏線圈的第i匝上距離圓心為r的一點Q,B相導線與Q點的距離為L ,角 為θi點所在半徑r與dAB 間的夾角。
根據安培環路定律,B相導線在Q點產生的磁感應強度在BQ連線的垂線上,僅有垂直于線圈截面方向即Q點切線方向的磁感應強度對感應電動勢有貢獻,在Q點切線方向的磁感應強度分量為:

羅氏線圈總匝數為N,若羅氏線圈均勻密繞,則產生的感應電動勢如下,可化為下式的連續的積分形式:

使用MATLAB對上式進行數值計算,可得當d 大于(R+d)時e(t);0。可見,只要鄰相導線處于線圈之外,若羅氏線圈的繞線均勻,則理論上B相的導線電流對套接在A相上的羅氏線圈影響為零,C相電流對A相的影響同理。
垂直方向外界磁場干擾分析
外界干擾磁場的平行分量的對羅氏線圈的影響與鄰相導線的影響相同,積分結果為0,可以忽略。 與羅氏線圈的每個線圈的小線匝所在的截面平行,因而在小線匝中不會產生對應的感應電動勢。但小線匝在整個線圈骨架上螺旋密繞,形成了一個類似于環形螺線管螺旋式地沿骨架的環形前進,環繞一周后,形成了一個沿環繞方向的等效大線匝,如圖4所示。

圖4 等效大線匝示意圖
由于B 與大線匝所在的平面垂直,當曰 隨時間變化時,穿過大線匝的磁通量 隨之變化并在羅氏線圈內產生感應電動勢e 。雖然大線匝僅有一匝,但大線匝的面積通常遠大于小線匝的截面積。即使垂直方向的干擾磁場的磁感應強度與待測導體產生的磁感應強度相近,也會給測量結果帶來顯著的誤差。因此在實際使用中需考慮在羅氏線圈添加回線” 來避免垂直方向磁場曰 的干擾。

圖5 帶回線的羅氏線圈
回線所處平面平行于xOy平面,。記回線圍成的圓的半徑為R回 ,記Bz在回線中產生的感應電動勢為e回,則最終輸出的感應電動勢e’z等于e回與大線匝中產生的感應電動勢ez回之和。若選取R回等于大線匝的等效半徑Req,由于回線中電流方向和等效大線匝的電流方向相反,因此e回與ez大小相等,方向相反,二者相互抵消。故添加回線后可有效地消除垂直方向磁場對羅氏線圈性能的影響。