1、不確定度來源
在測量柔性探頭電流變換系數時,不確定度來源如下:
(1)輸出電壓引入的不確定度:包括測量重復性和用數字多用表測量輸出電壓時測量誤差引人的不確定度。
(2)電流放大器引入的不確定度。
2 建立測量模型
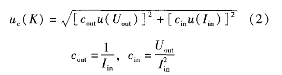
根據式(1),測量探頭電流變換系數的測量模型為:

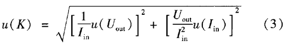
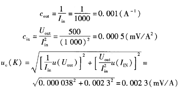
測量模型中有兩個輸入量 和Uout,Iin,Uout 和,Iin。不相關,相關系數為0 ,則探頭電流變換系數測量的合成標準不確定度ue“ (K)為:

式中:u(/in)為輸入電流引入的標準不確定度;
M(Uo )為輸出電壓引入的標準不確定度;ci 為U(,n)的靈敏系數;Cout為U(Uo )的靈敏系數。將靈敏系數代人式(2)得式(3)。

3 輸入量的標準不確定度評定
3.1 輸出電壓引入的標準不確定度u(Umn)
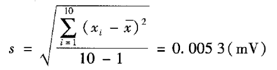
3.1.1 測量重復性引入的標準不確定度U
按A類方法評定, 以對被測柔性探頭輸入電流1 000 A為例,輸出電壓為500 mV,連續測量10次,將數據記錄在表1中。
根據表1中10次實測電壓的數據由貝塞爾公式計算實驗標準偏差S:

實際測量時采用3次測量的平均值作為測量結果,因此重復性引入的標準不確定度U 為:

3.1.2 電壓測量誤差引入的標準不確定度U根據數字多用表8508A技術說明書,在500mV點測量的最大允許誤差為±0.065 mV,可認為在區間內服從均勻分布,包含因子k 為 ,則標準不確定度 :為:

3.1.3 輸出電壓引入的標準不確定度

3.2 電流放大器引入的標準不確定度 (,in)
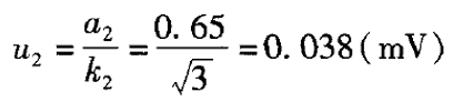
由于被測電流探頭的電流變換系數0.5 mV/A,在500 mV這個點,電流放大器輸出的電流為1 000 A,根據電流放大器的技術指標,電流放大器在1 000 A的最大允許誤差為: ±7.84 A,可認為在區間內服從均勻分布,包含因子k為
,則標準不確定度U(,i )為:

2.3.3 不確定度的合成(表2)


探頭電流變換系數測量的合成標準不確定度為:

3.4 擴展不確定度
取包含因子k=2,則擴展不確定度為U為:U=ku ( )=2×0.002 3=0.004 6=0.005(mV/A)所以,測量電流變換系數為0.5 mV/A的柔性探頭,在1 000 A、500 mV處擴展不確定度 為:
