CWT產生的內部噪音水平較低,在產品規范中列為“噪音”Max’。噪聲包括通常非常小的寬帶噪聲和低頻或1/f往往占主導地位的噪聲。低頻噪聲是分布在周圍的隨機噪聲積分器的增益處于最大值的低頻帶寬。
每個模型的1/f噪聲通過如下調整積分器的低頻帶寬來限制如第1節所述。對于積分器增益必然較大的高靈敏度模型低頻帶寬被增加以維持可接受的噪聲水平(通常<20mVp-p,其表示<0.1%滿刻度輸出)。

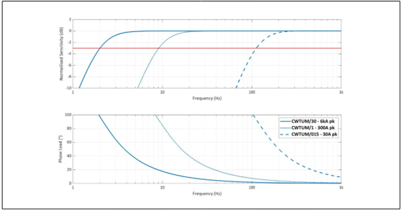
圖1
噪聲的頻率含量將根據型號和低頻率而變化帶寬。圖2。顯示了在CWTUM/1(300Apk)的輸出。峰值噪聲密度出現在9.2Hz左右,對應于CWTUM/1的低頻(-3dB)帶寬(見圖1)。

圖2。CWTUM/1的電壓噪聲分布
PEM將數據表上的最大低頻噪聲指定為峰間電壓,因為CWT主要用作示波器探針。1/f噪聲遵循正態(高斯)分布這意味著峰間噪聲電壓通常是對應的噪聲電壓的六倍RMS噪聲電壓。圖3顯示了CWT

圖3。CWTUM/1的噪聲捕獲(RMS=2.4mV)
一般來說,對于使用帶示波器的CWT探頭的客戶,我們建議CWT的范圍約為100:1。這樣可以確保最小電流至少為五倍大于探針引用的“噪聲最大值”。
使用CWTUM/1作為我們的例子;CWTUM/1的“峰值電流”額定值為±300Apk,因此基于100:1的動態范圍,建議的最小電流為+/-3Apk。這不止數據表中引用的“噪聲最大值”15mVp-p(±0.38Apk)的五倍。
選擇建議的最小電流以確保整個帶寬的最佳精度探針的。然而,噪聲主要集中在低頻(-3dB)帶寬——可以在更高的頻率下解決更小的電流。更詳細有關這方面的信息,請參閱與準確性相關的技術說明。
可以通過增加Rogowski線圈靈敏度(Vs/a)來降低設計的1/f噪聲導致較低的積分器增益。然而,提高線圈靈敏度的結果通常是高頻帶寬的減小或線圈橫截面積的增加(或者二者)。