1.基本方法
利用矢量網絡分析儀測試設備的電流和電壓可以得到散射參數。參考負載取決于矢量網絡分析儀的內阻,為一個標量。下面我們需要找到注入探頭和測試探頭之間的S 參數與端口間S 參數的關系。假設矢量網絡分析儀的電纜A 連接到注入探頭,電纜B 連接到測試探頭。這兩個探頭夾在測試設備的“j”和“i”端口上測量Sij 參數。同時,每個端口上都連接特性阻抗Zc 。
2. Sij傳輸參數的測量
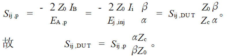
注入探頭和測試探頭分別位于端口“j”和“i”。網絡分析儀的內阻為Z0 。矢量網絡分析儀測得的是探頭a 與探頭b 之間的S 參數表示為S ij ,p 。UA 、UB 和IA 、IB 分別是兩個探頭上的電壓和電流。
EA ,p 是探頭a 上的感應電壓源。根據Sij ,p 的定義有

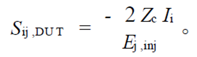
Sij ,DUT表示受測設備的散射參數,受測設備負載為Zc , Ej ,inj表示端口j 上注入的電壓源,有

用Sij ,DUT表示Sij ,p 有

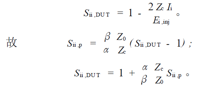
3 Sii反射參數的測量
當注入探頭和測試探頭處于同一端口時,通過矢量網絡分析儀測試同一端口i 的反射參數為、

式中, Ei ,inj表示端口i 上注入的電壓源。同時,有
