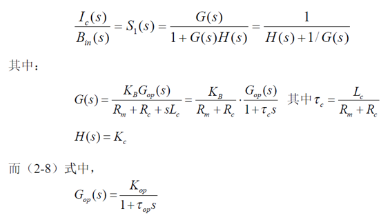
下面通過建立磁補償式霍爾電流傳感器的閉環系統數學模型,進一步討論傳感器的參數優化方案。

圖1
依據圖1,建立一個磁補償式霍爾電流傳感器的數學模型。
設Bin為待測電流產生的外部磁場;Bc為補償電流產生的補償磁場;Vc為霍爾元件施加的偏置電壓;RIN為霍爾元件的輸入阻抗。于是霍爾元件產生的霍爾電壓為:

式中,m r為集磁環的相對導磁率;Nc為補償線圈匝數;Dc為聚磁環的直徑。則傳感器的傳遞函數圖如圖2所示:

圖 2 反饋磁補償式霍爾電流傳感器數學模型框圖
在上圖的傳遞函數中Bin為輸入磁場(自變量),Ic為補償電流(因變量)。而出現兩次的Rm是同一參數,為表達傳感器的兩種輸出方式,因此增加了VO輸出(因變量),下面的分析仍
以Ic為因變量。根據該框圖,可以建立閉環霍爾電流傳感器的數學模型,如式所示:

這里Kop 為運算放大器的開環靜態增益; op t 為運算放大器的開環時間常數。將式和代入式可得:

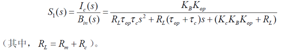
磁補償式霍爾電流傳感器從傳遞函數來看可視為一個二階低通濾波器,由c B op K K K >>R,式可改為:

通過式可得傳感器的截止頻率f0為:

并且以40dB/十倍頻程的衰減率下降。