Rogowski線圈的一些參數直接或間接地影響著線圈的性能。其中線圈平均半徑r、截面半徑a、匝數N1和導線直徑d等參數有著相互關聯、相互制約的聯系。為了得到較理想的參數,進行了些計算。其中線圈的時間常數為:
在忽略匝間電容c。情況下,傳輸時間可近似為

從計算結果可知:T與N、a、d成正比關系;T與N、a成正比關系。這樣,從自積分條件t》T。看,要使大,可增加N與a兩個參數。可在實際中,、0是不可能任意增加的。若增大N,匝間電容及傳輸時間也相應增大,將導致線”時間增大,波形失真,給測量帶來誤差.并且靈敏度也隨之降低(8=R/N).而截面半徑a須滿足條件a<r,若。過大,將造成線圈截面中的電場強度衛不均勻而產生測量誤差。對于d來說,只要結構尺寸允許,越大越好,對于信號電阻衛值的選擇,從積分條件及響應時間來看,其值越小越好。為了有一定的靈敏度,選擇電阻阻值約0.1G左右。這樣既可滿足條件式,又可在示波器上顯示一定的電壓幅值。
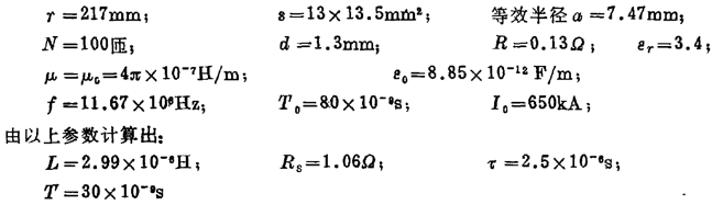
考慮以上各種因素,設計制作了一些不同參數的線圈,其中之一的參數如下

由計算可知, 選擇的參數符合設計原則。
當線圈與被測電流有輕微不對稱時, 要考慮繞線與屏蔽盒間的電容的作用。與線圈的自感產生共振, 會出現幾兆赫茲的振蕩波疊加在信號上因此必須加以阻尼阻尼的方法是在線圈與屏蔽盒之間并聯阻尼電阻, 且均勻分布。