當所有繞匝都具有完全相同的橫截面并且圍繞圓形路徑完美均勻地分布時,羅氏線圈將產生最小誤差。因此,假設線圈為矩形截面羅氏線圈,且線圈繞制均勻。
1 導體偏移
當導體偏離線圈中心時,其周圍產生的磁場分布相應的發生變化,線圈截面上某一點P對應的場強此時需要重新計算,簡化后示意圖如圖1。

圖1 待測導體偏移中心后的磁場示意圖
其中,P 為線圈截面上某一點,O 為線圈中心,O' 為導體偏移后的中心,D為導體偏移距離,B為偏移后在P 點的磁場,B' 為B 垂直于線圈截面的分量,OP=R,O'P = R' 。P處有,

其中
那么B 在垂直于
線圈截面上的垂直分量B' 可以表示為B' = B cos α 。此外,在三角形OO'P 內部有幾何關系
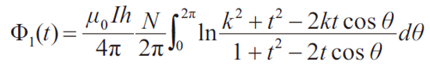
所以P點所在線圈截面上磁通量為

在每個dθ 角度上存在的線圈匝數為
所以整個線圈總的磁通量為

記k=b/a,t=D/a,m=D/b,上式可以改寫為

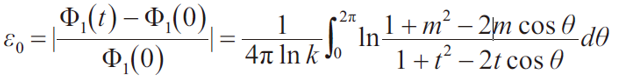
所以當導體發生偏移時相對誤差為

假設a=90mm,b=100mm,分別計算偏心度t 為0~1時的相對誤差如下。
可以看到,當偏心度小于0.8 時,相對誤差極小,而在0.8~0.9這段誤差迅速上升。因此可以認為,只有當中心待測導體偏移到快要接觸線圈時才會產生較大誤差。所以,在安裝過程中,要盡量保證中心導體偏移在較小范圍內。
表1 相對誤差ε0 和偏心度t 的關系

3.2 導體傾斜
本小節僅討論中心待測導體發生傾斜但不發生偏移的情況,具體示意圖如圖3。

圖3 待測導線發生傾斜時的示意圖
所以導體上電流i0(t) 在x,y,z 三個方向上的分量可以表示為

對于X,Y 方向上的電流分量,它產生的磁場方向平行于線圈截面,因此不會對感應電壓做貢獻,主要由Z方向的電流分量產生線圈上的感應電壓,對應的感應電壓可以寫為

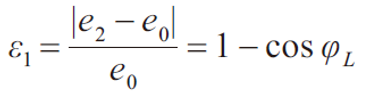
相應的相對誤差可以表示為

由上式可以得出結論,當中心待測導體發生傾斜時,會對最終測量結果產生影響,且傾斜角度越大,誤差越大。所以在實際測量安裝時,要采取措施保證穿過線圈部分與線圈平面保持垂直。