羅氏線圈電流30 次內諧波的誤差試驗,并進行分析。鑒于目前智能變電站使用的電子式互感器合并單元采樣頻率為4kHz,本文主要研究在頻率為1.6kHz至4kHz 的羅氏線圈電流互感器誤差試驗。被測羅氏線圈電流互感器額定電流為600A,采用高頻電流源,額定電流為100A。采用本文搭建的圖2 測試系統,首先開展羅氏線圈傳感頭的頻率特性試驗。其中,圖1 為羅氏線圈傳感頭在頻率1.6kHz 下的傳變試驗波形。

圖1 羅氏線圈電流互感器頻率響應試驗波形

圖2 羅氏線圈電流互感器頻率特性測試系統
表1 羅氏線圈傳感頭頻率試驗結果

羅氏線圈電流互感器在1.6kHz 至4kHz 頻率下的比值誤差和相位誤差試驗結果如表1 所示。
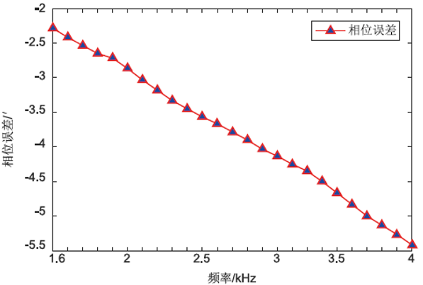
將表1 中羅氏線圈傳感頭在1.6kHz 到4kHz 下頻率響應的數據繪制成曲線如圖3 和圖4 所示,其中比值誤差基本保持不變,穩定在0.23% ~0.26% 之間,可以看出羅氏線圈傳感頭 對高頻信號的傳變性能較好。而且隨著頻率增大,羅氏線圈傳感頭的相位誤差在10'以內,由于二次線圈阻抗增大,使得羅氏線圈傳感頭相位誤差往負方向增大。建議在羅氏線圈電流互感器設計時盡量控制二次線圈電感值或者進行相位補償,優化在高頻下的頻率特性。

圖3 比值誤差曲線

圖4 相位誤差曲線

圖6 頻率為4.05 kHz時的傳變波形圖
為研究羅氏線圈電流互感器在經過合并單元后的頻率特性,采用圖2 所示的試驗系統,在一次側施加多種頻率的電流,測試結果如表2。
從表2 可看出,由于羅氏線圈電流互感器及其合并單元采樣頻率限制,比值誤差和相位誤差出現較大偏差。此時,增大羅氏線圈電流互感器一次側輸入電流的頻率為4.05kHz,其經過合并單元的試驗波形如圖6 所示。
表2 羅氏線圈經過合并單元后的誤差試驗結果

從圖6 可以看出, 一次側實際輸入的電流約為
100A,而被測羅氏線圈在經過合并單元后輸出電流約為1100A,輸出電流值已經接近于輸入電流值的10 倍多。實質上,產生此現象的原因主要是羅氏線圈電流互感器采用的濾波器不具備理想濾波特性,出現頻率混疊現象,造成高頻信號混疊到工頻信號中,導致羅氏線圈電流互感器
的輸出電流采樣值會出現大幅偏離。根據奈奎斯特采樣定律及數字信號頻率混疊機理分析可知,假設實際頻率為fs,采樣頻率為SF,且SF < 2fs,經采樣分析得到的混疊頻率為fa,則有:

式中,n=Int( fs/ SF+0.5),其中Int() 為取整函數,小數點后面的數字全部舍掉,僅保留小數點以前的整數部分,即n 為與被混疊信號fs 最接近的采樣頻率整數倍所對應的那個整數。根據以上公式(1) 可以計算出混疊頻率為50Hz,與圖6 試驗波形結果基本一致。
為了更好抑制頻率混疊,建議在羅氏線圈電流互感器AD 轉換之前進行抗混疊濾波器設計,通過改變濾波器參數達到效果,另外也可以提高采樣頻率來應對頻率混疊。同時,應建立頻率混疊試驗平臺,完善頻率混疊試驗方案,并在羅氏線圈電流互感器出廠前進行相關性能的檢測,利用試驗結果及時進行修正,以達到要求。