由于積分器中的累積誤差的存在,該誤差消除一直是阻礙Rogowski 線圈電子式電流互感器大范圍工程應用的一個重要問題,并且各種改進的積分算法也大多是圍繞抑制直流漂移而改進的。
目前消除累積型誤差主要有兩大類,即抑制法和補償法。常用的抑制法包括:
(1)在ADC 之后加裝數字式高通濾波器(High-pass Filter,HPF);
(2)改變積分算法,抑制直流輸入。
現代的電力系統要求電流互感器能完整準確實時地反應被測點的電流,特別是要更精確的反應諧波電流和暫態電流。所以以上方法在更嚴格的要求下會產生如下一些問題。
(1)穩態時會對積分器輸出的幅值和相位精度有一定的影響。一種無限沖擊響應(Infinite Impulse Response, IIR)數字濾波器,雖然能較好的濾除直流,但是其對輸出的相位精度影響較大。
(2)上述直流抑制方法是不加區分的濾除直流,當電力系統發生故障時,電網中電流存在非周期的爬升電流,隨后這部分故障電流會發生衰減,這種變化形式的電流分量在經過Rogowski 線圈之后變現為近似直流性質的電壓信號,而這部分信號是不應該被消除的,否則會導致積分器輸出的電流值要小于實際被測點的電流值,從而影響繼電保護的動作。
(3)從算法上抑制直流輸入也會對高次諧波的積分精度產生影響,例如朱超等提出的將低頻增益平坦模擬積分器數字化的算法,雖然將直流衰減到原來的1/4,但是對高次諧波的測量精度影響較大。所以,一個優秀的誤差補償與消除的環節應該是在完全保持原電流的微分信號不變的同時,消除ADC 及其前置電路中產生的所有包括直流在內的誤差信號。
補償法,即在積分器輸入被積值時對其中的直流漂移進行補償,最簡單的補償量的確定可以通過查表獲得,查表法的局限在于無法獲得每一個元器件的補償表,僅能獲得整個批次或者該產品的補償表,并且由于元器件壽命的問題而產生的誤差更是無法在補償表中體現,所以查表法的精度不高。現在一般使用的方法是實時計算均值獲得直流誤差來進行補償,這種補償方法響應速度慢,并且也容易對正常的輸入產生影響。
另一類比較優秀的補償方法是不確定數值關系的黑盒補償方法,主要有以下兩種:
(1)對地積分補償法,其采用一對參數相近的積分器,當其中一個積分器對地積分時,可以獲得b 值用于補償。其缺點是由于一個積分器的輸入是零電位,其輸入功率明顯小于原信號積分器的輸入功率,因此雖然兩組放大采樣電路參數一樣,但是工況不同,所產生的誤差并非完全一樣,效果有限。
(2)交叉反相采樣法,以固定頻率對原信號進行反相,使反相后獲得的積分值與前段相同時間內未反相的積分值獲得相同的偏移值,進行處理后獲得偏移值并進行補償。其缺點是頻繁地使用電力電子器件對原信號進行反相操作,在反相時會對原信號產生畸變,從而產生新的誤差,并且實際操作上還存在一定的困難。
參考上述兩種模擬積分器誤差補償方法,我們提出可應用于數字積分器的一種簡單而實用的直流誤差消除方法——鏡像法,具體方法如下。
首先對Rogowski 線圈出口電壓進行分壓處理以獲得兩個等幅而反相的電壓信號,分壓電路如圖1 所示。

圖1 分壓反相電路
再取兩套參數相同的ADC 及其前置放大電路并列運行,輸入為該組等幅反相信號,從而構成鏡像輸入,最后將兩套裝置的出口數據進行差運算,具體流程如圖2所示(圖中放大采樣模塊的公共端連接已略去)。

圖2 鏡像消除誤差過程
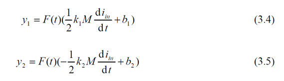
ADC1 和ADC2 的出口值1 y , 2 y 為

其中F(t)為采樣函數, 1 2 k , k 分別為兩組放大采樣電路的綜合放大比, 1 2 b ,b 為ADC1 和ADC2 及其前置放大電路中產生的直流誤差。
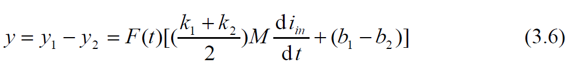
最終積分器的輸入值y 為

由于一對鏡像工作狀態的ADC 及其前置放大電路在生產條件、運行環境、輸入幅值等方面高度的一致性,所以認為有1 2 1 2 k ? k ,b ? b ,從而

顯然,該方案并不直接對1 y 、2 y 進行串聯性質的濾波處理,最大程度地保持了1 y 、2 y 對一次電流值的真實反映,在經過復化梯形公式積分之后能真實準確地反映一次側電流在穩態和暫態運行條件下、在基波和諧波上的各種特征。
Rogowski 線圈不產生直流漂移,而數字電路部分無誤差,從而積分器的被積函數完全是被測點電流的微分值的真實反映。該方案有以下優點:
(1)直流誤差消除效果較好;
(2)完整地保留被測電流的微分信號,被測電流中的低頻振蕩、次諧波、直流衰減電流時不會被錯誤的濾除;
(3)響應速度極快;
(4)對兩套ADC 采樣模塊的輸出進行比較,如果某一套裝置發生故障,則很容易發現數據異常而發出故障報警信號,并閉鎖相應的繼電保護裝置,提高了電網的穩定性與可靠性;
(5)結構簡單,便于工業化生產。