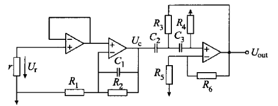
新型模擬積分校正電路在實際應用中,為了解決積分電容長期工作時引起的積分漂移問題,在積分電容兩端并聯了較大的電阻,使積分電容形成了放電回路,這使得模擬積分器與理想積分器存在誤差,相當于引人了慣性環節。此外,為提高羅氏線圈的抗干擾性,電路中增加了二階有源高通濾波器,但倆者均會給校正電路帶來一定的幅值和相位誤差。對如圖1所示的校正電路進行系統誤差分析時,為便于分析,設輸入信號為正弦波。

圖1 羅氏線圈低頻失真校正電路
設
,由圖1所示的校正電路的電氣關系得到:

式(一)

式(二)
式中:A, , 分別為正弦信號的幅值、角頻率、初始相位角;u。 為考慮電阻R 對校正電路引人誤差時的輸出電壓信號。
二階高通濾波電路幅頻和相頻特性分別為:

式(三)

式(四)
式中:A 。為二階鬲通濾坡電路的逋帶增益倍數;R — R 3一R 4;C— C 3一C4。
校正電路的幅值誤差E 和相位誤差AO分別為:

式(五)

式(六)
當輸入正弦信號變化時,校正電路引起的系統誤差與校正前的比較如表1所示。
表1 羅氏線圈校正前后誤差比較

根據表1可知,隨著被測雷電流頻率的增加,其校正前后的相位誤差和幅值誤差均逐漸減小。羅氏線圈在校正前的相位誤差和幅值誤差比校正后大很多,以5 kHz的正弦波信號為例,校正前幅值誤差為33.48 ,校正后為2.06 ;校正前的相位誤差為41.48。,校正后為O.81。。在測量低頻信號時,校正后的羅氏線圈與校正前相比大大降低了幅值誤差及相位誤差,拓寬了羅氏線圈的測量頻段。