
圖1羅氏線圈傳感原理等效電路
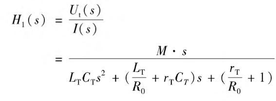
由圖1所示的等效電路可知,羅氏線圈傳感頭的傳遞函數為

式(一)
由于感應電動勢 E=MIn,即羅氏線圈互感M的大小是根據電路所需而設計的,所以師數 N是確定的。根據式(二)式(三)可以知道,羅氏線圈互感M 與自感L是同時被確定的,所以影響羅氏線圈傳變特性的因素主要是線圈內阻r分布電容 C和負載電阻Ro。

式(二)

式(三)
式中:從o為真空磁導率;a 為線圈橫截面的內徑;b為線圈橫截面的外徑;h 為線圈截面高度。某羅氏線圈的等值集中參數如表1所示,當只改變線圈的負載電阻 R時,羅氏線圈的幅頻特性和相頻特性如圖2所示。

由圖2曲線可以看出,負載電阻越小,在特定頻率點的上翹現象越明顯,會對輸出的幅值產生較大影響,且會產生很大的角位移,降低截止頻率。因此,為了提高截止頻率,在羅氏線圈互感器的設計中應考慮使用較大的負載電阻
當只有內阻變化時,羅氏線圈的幅頻特性和相頻特性如圖3所示。由圖3可知,隨著羅氏線圈的內阻增加,角位移也隨之增加,且在高頻時這種現象愈發明顯。總而言之,羅氏線圈的內阻越大,其頻率響應特性越差
當只有分布電容變化時,羅氏線圈的幅頻特性和相頻特性如圖4所示
由圖4可知,與內阻增加的情況類似,即羅氏線圈的分布電容越大,在相同的頻率下傳變的角偏移

圖2負載電阻變化時幅頻、相頻特性

圖3內阻變化時幅頻、相頻特性
越大,且在高頻時影響更加嚴重。綜上所述,為了提高羅氏線圈傳感單元的上限截止頻率獲得更寬的頻域特性,可以通過設計負載內阻、分布電容3個參數來實現,即適當增加負載陽抗、選取合適的線圈線徑使羅氏線圈內阻更小、盡量減小線圈的分布電容,從而改善羅氏線圈傳感單元的高頻特性。


圖4分布電容變化時幅頻、相頻特性