本文在此基礎上通過重新設計傳感頭、有源積分電路和信號傳輸電纜的結構與參數,在保證測量靈敏度和下限頻率的前提下,將這種自積分和外積分相復合的羅氏線圈的上限頻率拓展到fc。如圖1所示,線圈輸出由終端電阻Rt 阻尼,感生電壓ε 經線圈自身L/Rt 高頻自積分環節、無源R0C0 中頻積分網絡、有源R1C1 低頻積分器處理后,再經過RhCh高通濾波環節濾除運放引入的低頻噪聲后,獲得輸出信號Uo;高通濾波器的引入使運放的低頻衰減網絡可用一個大電阻RL 代替,便于參數設計,否則就要用阻容網絡來實現低頻衰減,參數設計相對復雜。在圖2 所示的復合積分式羅氏線圈的幅頻特性示意圖中,圖2a 為傳感頭的幅頻特性;經圖2b 有源積分環節、圖2c 無源積分環節和圖2d 高通濾波環節校正之后,傳感器整體幅頻特性如圖2e 所示。

圖1 自積分與外積分復合式傳感器

圖2 復合式傳感器頻率特性
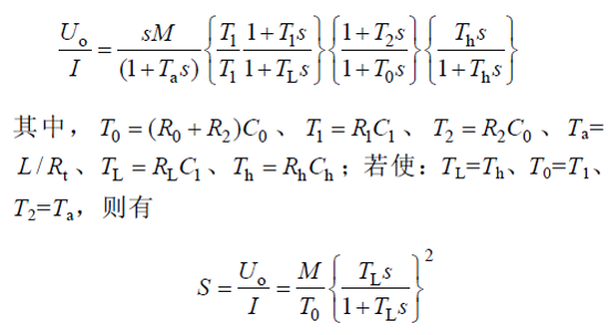
因此可得傳感器的傳遞函數為

式中, S =Uo / I 是傳感器靈敏度,通頻帶內可近似為M/T0。