大多數實驗室都有充足的數字萬用表來測量直流電阻,但在測量電感、電容和阻抗時,要找到 LCR 表并不總是那么容易。
LCR 儀表通過向被測設備施加交流電壓并測量產生的電流(相對于交流電壓信號的幅度和相位)來工作。容性阻抗將具有領先于電壓波形的電流波形。電感阻抗將具有滯后于電壓波形的電流波形。幸運的是,如果您的實驗室中有示波器 和函數發生器 ,您可以使用類似的技術進行多頻阻抗測量并獲得良好的結果。這種方法也可以適用于教學實驗室練習。

圖 1. 阻抗建模為具有等效串聯電阻的電容器或電感器。
什么是阻抗?
阻抗是交流電路中電流的總阻力。它由電阻(實數)和電抗(虛數)組成,通常用復數表示法表示為Z = R + jX,其中R是電阻,X是電抗。
現實世界的組件由電線、連接、導體和介電材料組成。這些元素結合起來構成了組件的阻抗特性,并且該阻抗會根據測試信號頻率和電壓水平、直流偏置電壓或電流的存在以及工作溫度或海拔高度等環境因素而變化。在這些潛在影響中,測試信號頻率通常是最重要的因素。
與理想元件不同,實際元件不是純電感性或電容性的。所有組件都有一個串聯電阻,這是其阻抗中的 R 參數。但它們的電抗也有多個貢獻者。例如,電容器具有串聯電感,在高頻時會變得更加明顯。當我們測量一個真正的電容器時,串聯電感 (ESL) 會影響電容讀數,但我們無法將它作為一個單獨的、不同的組件進行測量。

阻抗測量方法
本應用筆記中描述的 IV 方法只是測量阻抗的眾多方法之一。其他包括橋接法和共振法。
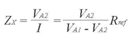
IV 方法使用被測設備 (DUT) 兩端的電壓和電流值來計算未知阻抗Z x。電流是通過測量與 DUT 串聯的精密電阻兩端的電壓降來測量的,如圖 2 所示。公式 1 顯示了如何使用該電路找到 Z x。等式1:

理論精度
在本應用筆記中,我們將使用泰克 AFG2021 任意/函數發生器和泰克 MDO4000 系列示波器進行測量。AFG2021 的 20 MHz 帶寬非常適合這種測量。MDO4000 的直流增益精度在 1 mV/Div 設置下為 2%,在其他垂直設置下為 1.5%。正如您在公式 1 中看到的,示波器的電壓測量精度是整個測試精度中最關鍵的因素。
根據公式 1,這種測量方法的理論精度在 MDO4000 的 1 mV/Div 設置下應約為 4%,在其他設置下應為 3%。
由于示波器的采樣率遠高于這些測試中使用的刺激頻率,因此相位測量造成的誤差可以忽略不計。

圖 3. 例 1 中評估電容器的測試設置。
測試示例
以下兩個示例介紹了使用示波器和函數發生器進行電容器/電感器/ ESR 測量。
使用的設備:
AFG2021 任意/函數發生器
MDO4104C 示波器
一個 1 kΩ 精密電阻器
待測電容和電感
兩個泰克 TPP1000 電壓探頭
對于此應用,大多數示波器和函數發生器將給出可接受的結果,因為測試頻率低于 100 kHz。但是,我們將在本例中利用 MDO4000 系列的測量統計數據。

圖 4. 節點 A1 和 A2 的電壓波形和測量值。
示例 1:10 μF 陶瓷電容器
如圖 3 所示設置測試電路。請注意,R ESR和 C 都與被測陶瓷電容器相關,R fg是函數發生器的 50 Ω 輸出阻抗。
將函數發生器設置為輸出 1.9 V 幅度、100 Hz 正弦波。您可以使用 AFG2021 的旋鈕或鍵盤來設置電壓和頻率。調整示波器的垂直刻度設置以盡可能多地使用顯示器——通過使用盡可能多的范圍,您將提高電壓測量的準確性。
使用示波器探測節點 A1 和 A2。圖 4 顯示了生成的波形。
選擇示波器的平均采集模式并將平均數設置為 128。這將減少隨機噪聲對測量的影響。將示波器設置為測量通道 1 頻率、通道 2 和通道 1 之間的相位、通道 1 幅度和通道 2 幅度,如圖 4 所示。如果您的示波器提供像 MDO4000 系列這樣的測量統計數據,請記錄平均值以進行計算. 否則,記錄最近的值。
從測量設置中,我們知道:
刺激頻率,f = 100 Hz
精密電阻,Rref = 1 kΩ
從示波器上進行的測量結果如圖 4 所示:
在 A1 處測得的電壓幅度,V A1 = 1.929 V
在 A2 處測量的電壓幅度,V A2 = 0.310 V
A2 處測得的電壓相對于 A1 的相位差,θ = -79.95°
請注意,在節點 A1,電壓的相位角為 0°,即它與函數發生器輸出同相。在 A2 處,電壓提前了相位角 θ。
可以使用公式 1 找到被測電容器的阻抗。
阻抗可以用極坐標形式表示,其大小由公式 2 給出。

等式2:
阻抗的角度由兩個角度相減得出:

等式 3:
對于我們示例中的測試,我們可以使用公式 2 和公式 3 來找到被測電容器阻抗的大小和角度:

現在我們可以將阻抗轉換為矩形形式來計算電阻和電容。

使用上面的等式,我們可以求解 DUT 的 ESR 和電容:

等式 4 和 5:
使用公式 4 和公式 5,我們可以計算被測電容器的 ESR 和電容:


表 1.示例 1 對比圖。LCR 手冊說它的準確度為 0.05%,USB VNA 手冊說它的準確度為 2%。
表 1 將使用示波器和函數發生器獲得的結果與使用低成本 VNA 和傳統 LCR 儀表獲得的結果進行了比較。本例中使用的 LCR 表僅支持 100 Hz 和 1 kHz 的測試頻率,這是常見的組件測試頻率。您會注意到這三種方法的相關性相當好。
指定無源元件值時考慮到特定頻率,因此 LCR 儀表通常具有多個測試頻率。表 1 顯示了使用示波器/函數發生器組合在五個不同頻率下的結果。隨著測試頻率的增加,您可以看到測試電路中寄生電感的影響——測得的電容隨著測試頻率的增加而下降。有關測試頻率的更多信息,請參閱“測量范圍”部分。
為獲得最佳結果,您需要將精密電阻 (R ref ) 的值保持在足夠低的水平,以便在節點 A2 處產生顯著的電壓波。電阻器也應大于 50 歐姆,否則函數發生器輸出阻抗將影響測量。

圖 5. 用于評估電感器的測試設置,如示例 2 所示。
示例 2:10 mH 電感器
測試電路和程序幾乎與示例 1 中用于測試電容器的相同。
使用函數發生器輸出 1.9 V 幅度 10 kHz 正弦波。信號被施加到參考電阻和被測電感。
使用示波器探測節點 A1 和 A2。圖 6 顯示了兩個生成的波形。

圖 6.節點 A1 和 A2 的電壓波形和測量值。
選擇示波器的平均采集模式并將平均數設置為 128。這將減少隨機噪聲對測量的影響。設置示波器以測量通道 1 頻率、通道 2 和通道 1 之間的相位、通道 1 幅度和通道 2 幅度,如圖 6 所示。如果您的示波器提供像 MDO4000 系列這樣的測量統計數據,請記錄平均值以進行計算. 否則,記錄最近的值。
從測量設置中,我們知道:
刺激頻率,f = 10 kHz
精密電阻,R ref = 1 kΩ
從示波器上進行的測量結果如圖 6 所示:
在 A1 處測得的電壓幅度,V A1 = 1.832 V
在 A2 處測量的電壓幅度,V A2 = 0.952 V
A2 處測得的電壓相對于 A1 的相位差,θ = 56.03°
請注意,在節點 A1,電壓的相位角為 0°,即它與函數發生器輸出同相。在 A2 處,電壓提前了相位角 θ。
我們可以使用與示例 1 中用于測量電容器相同的公式來計算 DUT 的阻抗。阻抗可以用極坐標形式表示,其中阻抗的大小和角度由下式給出:

現在我們可以將阻抗轉換為矩形形式以求出電阻和電感

使用上面的等式,我們可以求解 DUT 的 ESR 和電感:

等式 6 和 7:
使用公式 6 和公式 7,我們可以計算被測電感器的 ESR 和電感:


表 2.實施例 2 對比圖。
同樣,表 2 將使用示波器和函數發生器獲得的結果與使用低成本 VNA 和傳統 LCR 儀表獲得的結果進行了比較。這三種方法相關性很好。
表 2 還顯示了在四種不同頻率下使用示波器/函數發生器組合的結果。有關測試頻率的更多信息,請參閱“測量范圍”部分。
再一次,您可能需要試驗 R ref的值以獲得最佳結果。

圖 7. 電容/頻率框。 圖 8. 電感/頻率框。
測量范圍
對于這種阻抗測量方法,激勵頻率和 DUT 電容器或電感器值存在實際限制。
圖 7 是一個電容/頻率盒。如果電容值和測試頻率落在盒子內,那么您應該能夠測量它。在陰影區域,測量精度將在 3% 左右,而在陰影區域之外,精度下降到 5% 左右。這些不確定性假設您已經注意使用示波器的完整顯示,平均 128 個波形周期,并使用幅度和相位的平均值來執行計算。
圖 8 顯示了用于電感測試的類似電感/頻率框。
結論
如果您的實驗室沒有 LCR 表,或者您想演示電容器和電感器在正弦激勵下的行為,示波器和函數發生器可以幫助您進行簡單、透明的阻抗測量。您可以預期電容和電感值具有 3%-5% 的不確定性。為了利用這種方法,您只需要一個具有良好頻率和幅度范圍的函數發生器、一個具有良好規格和我們討論過的功能的示波器、一些精密電阻器以及一個計算器或電子表格。