行波故障測距要求傳感器傳變速度快,對傳感器的頻帶要求比較高,因為故障行波的頻率較高,所以只有高頻特性較好的傳感器才能用來測量故障行波。實際制作的PCB 式羅氏線圈行波傳感器的結構參數決定了電磁參數的大小,制作好之后的電磁參數是固定的,只能通過改變采樣電阻的大小或者積分電路來調節系統的性能。但是,電磁參數對羅氏線圈的性能起到了很重要的作用,所以需要對電磁參數進行研究,分析各電磁參數對傳感器性能的影響關系,從而合理選擇線圈的電磁參數,進一步優化傳感器的結構參數,使羅氏線圈工作在滿足行波測量要求的最佳狀態。下面結合自積分工作狀態,分析PCB 式羅氏線圈行波傳感器的電磁參數對其頻率特性的影響。
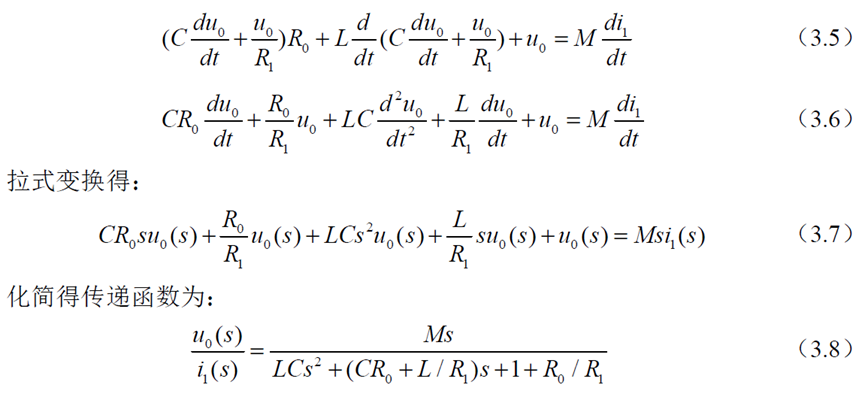
由傳感器測量電流的等效電路圖3.7 可以列出式:
